Ответы
Ответ дал:
0
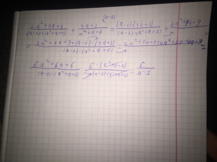
Краткое пояснение : 1 можно представить в любой степени ( так делал в начале ) Потом расписывал по формуле кубов. Под общий знаменатель, выделял подобные , вынес 6 за скобку и сократил.
Приложения:

Ответ дал:
0
большое спасибо
Ответ дал:
0
эм ...А Там в первом а^3-1 должно же быть
Ответ дал:
0
Я не писал сам пример, я сразу представил -1 в 3 степени и написал формулу куба.
Ответ дал:
0
окей...спасибо
Вас заинтересует
2 года назад
2 года назад
3 года назад
9 лет назад
9 лет назад
9 лет назад
9 лет назад