• Предмет: Алгебра
  • Автор: Dyaaa
  • Вопрос задан 8 лет назад

Решить уравнение легкое

Приложения:

Ответы

Ответ дал: NeZeRAvix
0

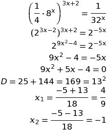
Решение во вложении.

Приложения:
Вас заинтересует