• Предмет: Алгебра
  • Автор: НЕВЕСОМАЯ67
  • Вопрос задан 8 лет назад

СРОЧНО 487 НОМЕР!!!!!!!!!!!!!!!! ПОНЯТИЯ НЕ ИМЕЮ КАК РЕШАТЬ!!!!!!!!!!! (ЖЕЛАТЕЛЬНО НА ЛИСТКЕ УМОЛЯЮ!!!!!

Приложения:

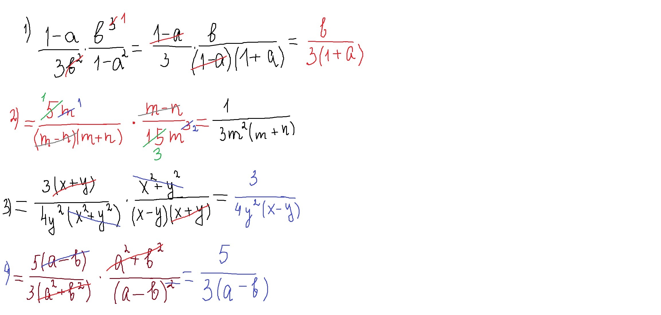
Ответы

Ответ дал: parus77
0

смотри решение внизу.где  непонятно-спрашивай.

Приложения:
Ответ дал: НЕВЕСОМАЯ67
0
Спасибо вам огромное!!! Впринципе по вашим записям все поняла !! Спасибо вам безграничное, не знаю как вас отблагодарить))))))))
Ответ дал: parus77
0
не за что.Это не сложное задание.Мне было не трудно это решить.
Ответ дал: НЕВЕСОМАЯ67
0
можно я вам пришлю еще одну ссылку моего задания просто проверьте правильно ли там решили)
Ответ дал: НЕВЕСОМАЯ67
0
https://znanija.com/task/29912407 вот ссылка
Ответ дал: parus77
0
да,решение правильное.
Вас заинтересует