• Предмет: Алгебра
  • Автор: Dyaaa
  • Вопрос задан 8 лет назад

Решите неравенство (ЛЕГКОЕ)

Приложения:

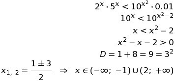
Ответы

Ответ дал: NeZeRAvix
0

Решение во вложении

Приложения:
Вас заинтересует