Ответы
Ответ дал:
0
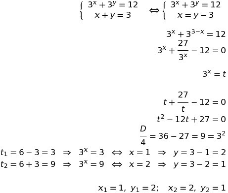
Решение во вложении.
Приложения:

Вас заинтересует
2 года назад
3 года назад
3 года назад
9 лет назад