• Предмет: Математика
  • Автор: nikita267010
  • Вопрос задан 8 лет назад

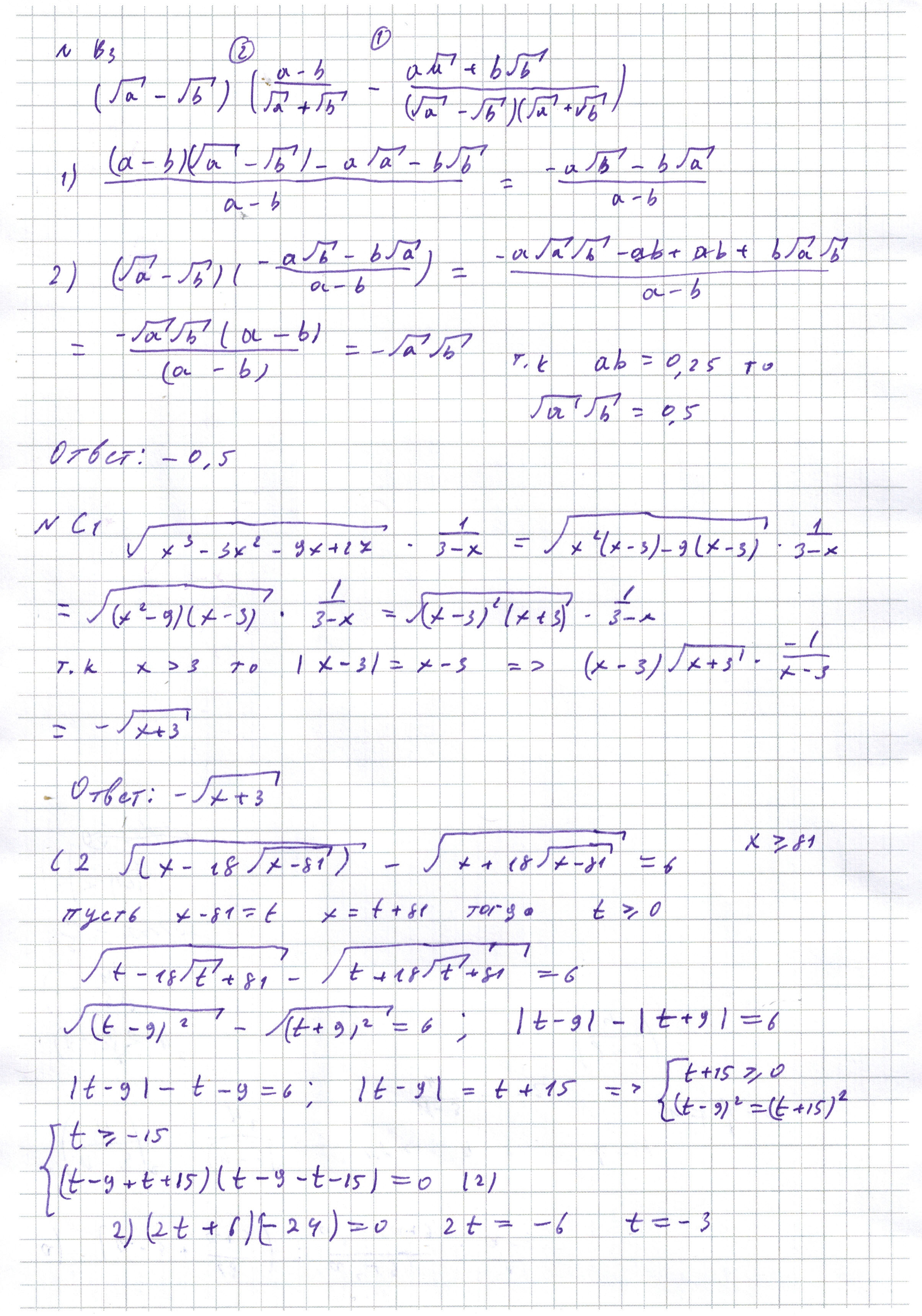
Помогите пожалуйста решить В3,С1 и С2

Приложения:

Ответы

Ответ дал: vaskovskie91
0

Добрый день! Решение см. фото.

Приложения:
Вас заинтересует