• Предмет: Математика
  • Автор: ruzil461
  • Вопрос задан 8 лет назад

Ребята помогите пожалуйста на дом задали срооочноо!!!

Приложения:

Ответы

Ответ дал: mscoolness
0

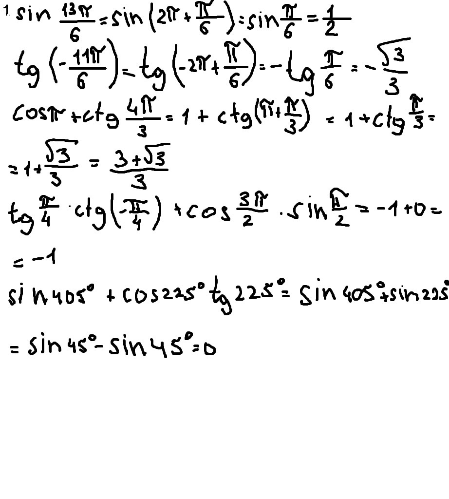
Сейчас допишу, если где-то не понятно - говорите

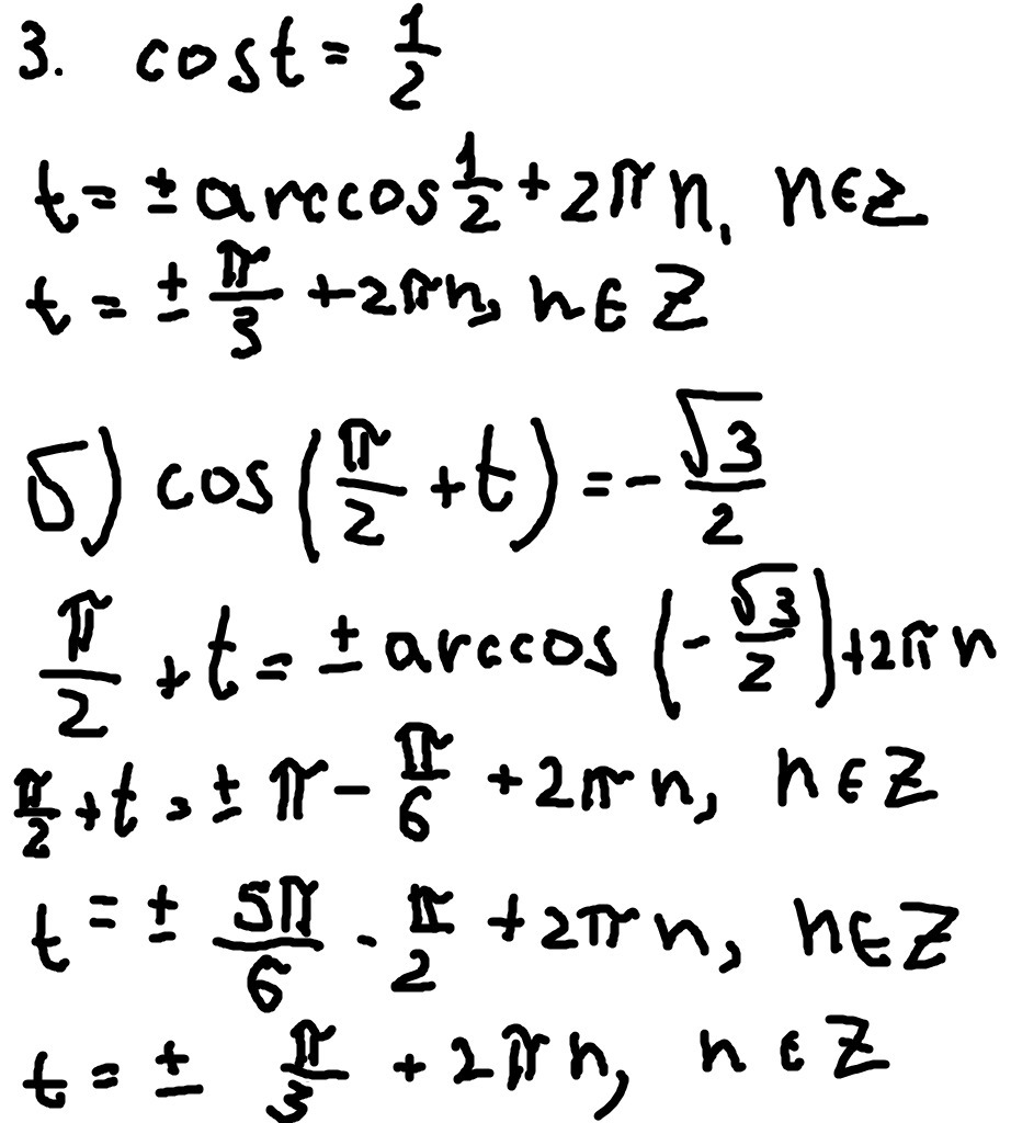
в пятом b, a, d, c - в порядке убывания

Приложения:
Вас заинтересует