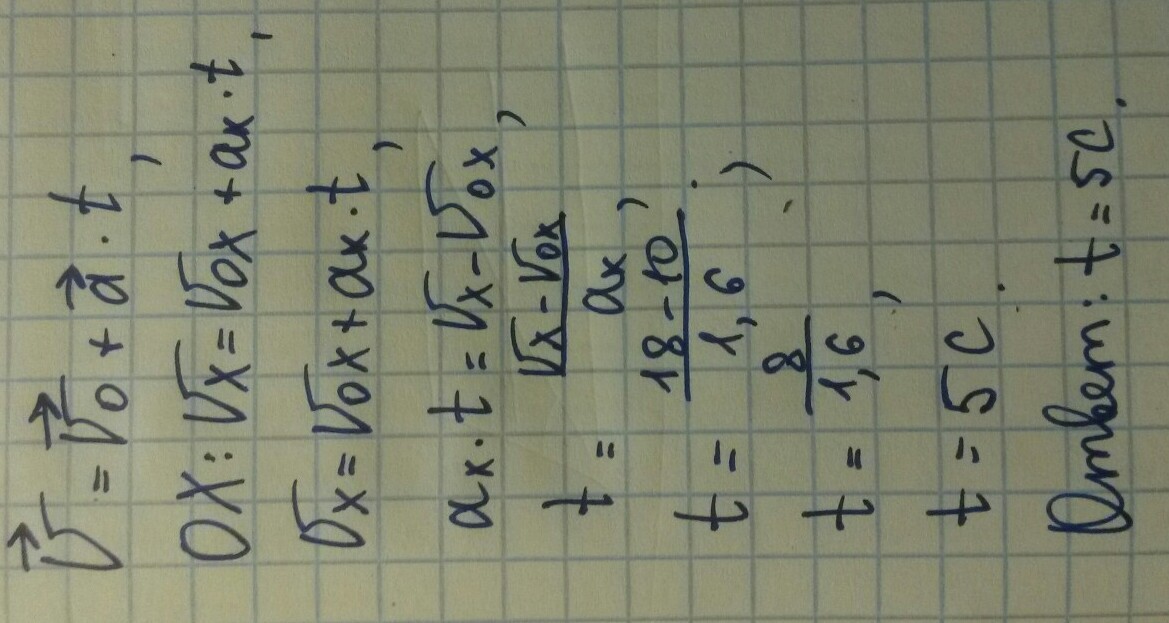
Определите время в течении которого тело двигаясь с ускорением 1,6м/с2 увеличит свою скорость от 10м/с до 18м/с
Ответы
Ответ дал:
0
Вот решение. Удачи :)
Приложения:


Вас заинтересует
2 года назад
3 года назад
9 лет назад
9 лет назад
9 лет назад