• Предмет: Математика
  • Автор: ormnjkfgfff
  • Вопрос задан 8 лет назад

Помогите решить уравнения!!!
Я не понимаю(((

Приложения:

Ответы

Ответ дал: сабинаааа
0
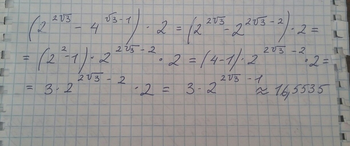
...........................
Приложения:
Ответ дал: ormnjkfgfff
0
И потом
Ответ дал: ormnjkfgfff
0
Там соуратятся степени с корнями
Ответ дал: ormnjkfgfff
0
2^(0)-1/4=1-0,25 =0,75))
Ответ дал: ormnjkfgfff
0
Мы с учителем на уроке проверяли))
Ответ дал: ormnjkfgfff
0
https://photomath.net/s/1LJgrr
Вас заинтересует