Ответы
Ответ дал:
0
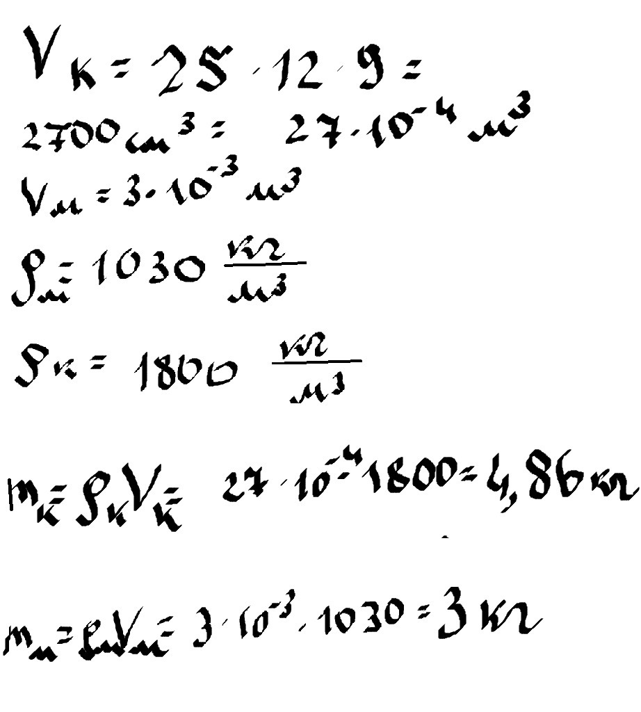
масса кирпича больше массы молока, так как 4, 86 кг больше 3 кг
Приложения:

Вас заинтересует
2 года назад
2 года назад
3 года назад
3 года назад
9 лет назад
9 лет назад
9 лет назад