• Предмет: Математика
  • Автор: 5ViSkaS5
  • Вопрос задан 8 лет назад

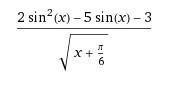
Решить уравнение ...

Приложения:

Ответы

Ответ дал: hote
0

displaystyle frac{2sin^2x-5sinx-3}{sqrt{x+ frac{pi}{6}}}=0\\ODZ: x+ frac{pi }{6}>0; x> - frac{pi }{6}\\2sin^2x-5sinx-3 =0\\sinx=t; |t|leq 1\\2t^2-5t-3=0\\D=25+24=49=7^2\\t_{1.2}=frac{5 pm 7}{4}; t_1=3; t_2=- frac{1}{2}\\sinx neq 3; sinx= - frac{1}{2}\\x=- frac{pi}{6}+2 pi n = frac{11pi }{6}+2 pi n; n in Z\\ x=-frac{5pi }{6}+2 pi n=frac{7pi}{6}+2 pi n; nin Z


Выборка корней.

т.к. по ОДЗ: x> -π/6

то n не может равняться отрицательным числам и тогда ответ будет

displaystyle x_1=frac{7pi}{6}+2 pi k; k in N\\x_2=frac{11pi}{6}+2 pi k; kin N


Вас заинтересует