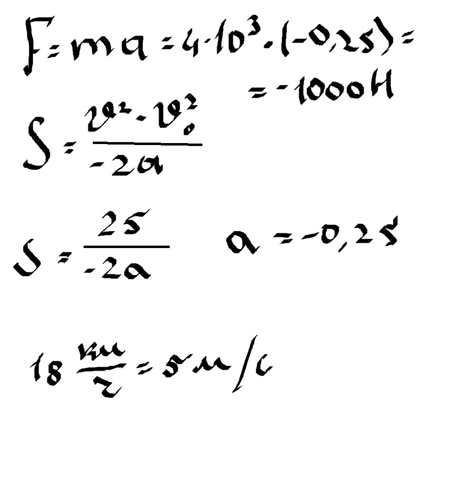
Автомобиль массой 4 т, двигаясь со скоростью 18 км в час, начинает тормозить и останавливается, пройдя 50 м. Определите силу торможения.
Ответы
Ответ дал:
0
а с минусом, так как движение равнозамедленное
Приложения:

Вас заинтересует
2 года назад
2 года назад
3 года назад
9 лет назад
9 лет назад