• Предмет: Алгебра
  • Автор: kkkkiiiii
  • Вопрос задан 8 лет назад

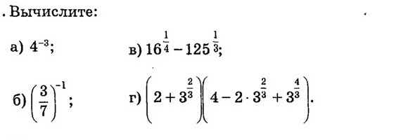
ВЫЧИСЛИТЕ ПРИМЕРЫ
ПОМОГИТЕ ПОЖАЛУЙСТА

Приложения:

Ответы

Ответ дал: Chee555689
0

а)=164

б)=7/3

в)=-3

г)=16

Вас заинтересует