• Предмет: Математика
  • Автор: communismlive
  • Вопрос задан 8 лет назад

Иррациональные уравнения.

Приложения:

Ответы

Ответ дал: spasibo3pajbrh
0

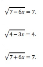
 sqrt{7 - 6x}  = 7 \ 7 - 6x = 49 \ 6x = 7 - 49 \ 6x =  - 42 \ x =  -  frac{42}{6}   \ x =  - 7
 sqrt{4 - 3x}  = 4 \ 4 - 3x = 16 \ 3x =  - 12 \ x =  - 4
 sqrt{7 +  6x}  = 7 \ 7 + 6x = 49 \ 6x = 42 \ x = 7

Вас заинтересует