• Предмет: Математика
  • Автор: karinka344
  • Вопрос задан 8 лет назад

помогите срочнооооо. 125/169:25/26

Ответы

Ответ дал: Firdavs110
0
frac{125}{169} div frac{25}{26} = frac{125}{169} times frac{26}{25} = frac{5}{13} times frac{2}{1} = frac{10}{13}
Ответ дал: karinka344
0
3,8×5/57 пж можешь просто ответ написать пж пжппжпжпжпжп
Ответ дал: Firdavs110
0
1/3
Ответ дал: karinka344
0
сп
Ответ дал: makoveevi
0
У тебя ответ получился неправильный.
Ответ дал: Firdavs110
0
Да с твоей точки зрения
Ответ дал: makoveevi
0

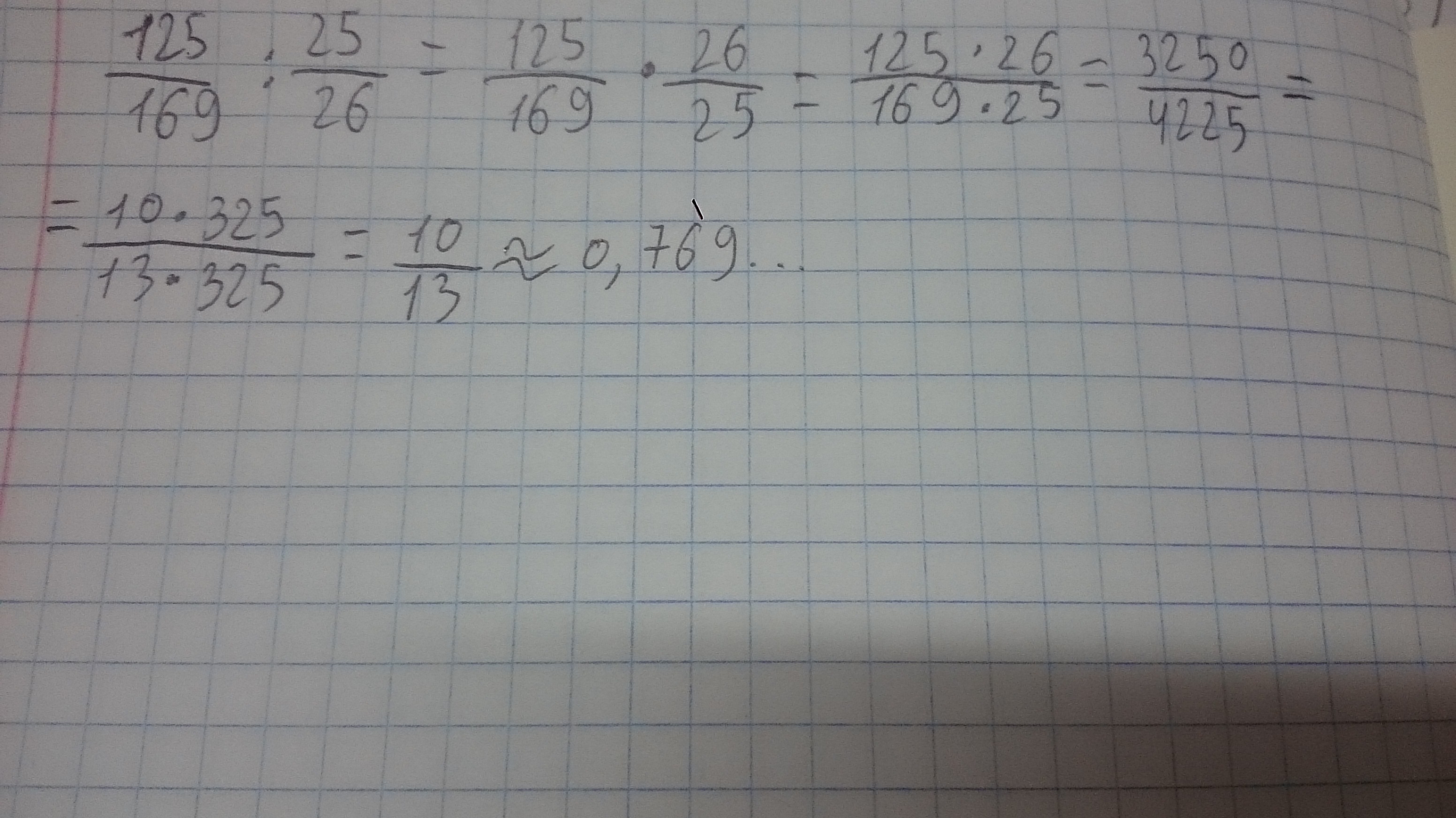
125/169:25/26=10/13 или 0,769..., подробное решение в файле.

Надеюсь помог, удачи тебе!

Приложения:
Вас заинтересует