• Предмет: Информатика
  • Автор: mashamitrofanova2018
  • Вопрос задан 8 лет назад

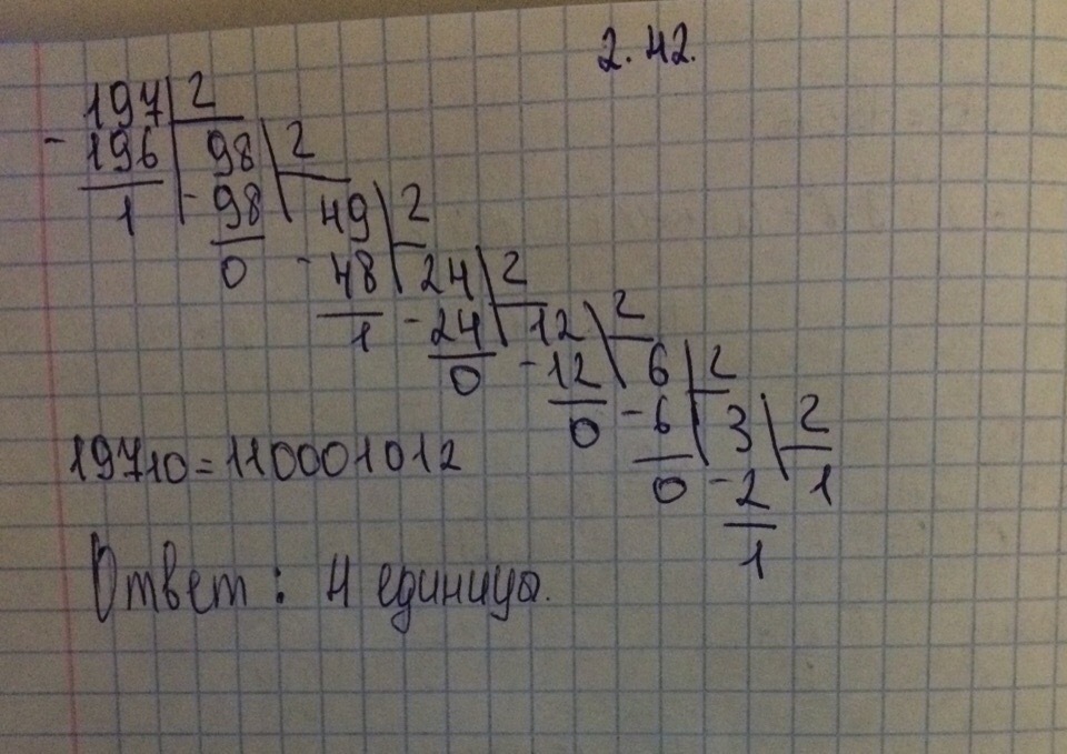
2.38 2.40 2.42
Помогите пожалуйста решить,если можно,то подробно

Приложения:

Ответы

Ответ дал: Авдотья4001
0

На одной фотографии всё уместить не получилось ;)

Приложения:
Вас заинтересует