• Предмет: Математика
  • Автор: gmv55604
  • Вопрос задан 8 лет назад

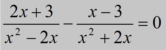
13. Решите уравнение 2x+3 / x^2 - 2x - x-3 / x^2 + 2x = 0

Приложения:

Ответы

Ответ дал: linaverbskaia
0
вот, надеюсь почерк понятен)
Приложения:
Ответ дал: gmv55604
0
Спасиб большое :)
Ответ дал: linaverbskaia
0
не за что)
Вас заинтересует