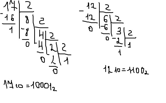
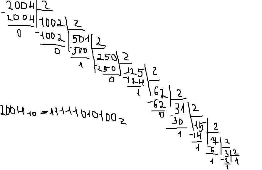
Перевести дату рождения (17.12.2004) из десятичной системы в двоичную.

Ответы

Ответ дал: 0102z
0

17=100011

12=1100

2004=11111010100

Ответ дал: Авдотья4001
0

К сожалению, решение не уместилось на одной фотографии :D

Приложения:
Вас заинтересует