• Предмет: Математика
  • Автор: communismlive
  • Вопрос задан 8 лет назад

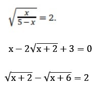
Иррациональные уравнения.

Приложения:

Ответы

Ответ дал: alkesh98
0

Снимал на тапок, не обессудь. Последнее ур-е не имеет решений.

Приложения:
Вас заинтересует