• Предмет: Алгебра
  • Автор: okylov1809
  • Вопрос задан 8 лет назад

Помогите пожалуйста
Заранее спасибо
можно только ответ

Приложения:

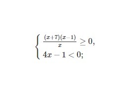
Ответы

Ответ дал: eVa12741
0
__-__-7__+__0___-___1____+__
_________-_______1/4_____+___

[-7;0)
Вас заинтересует