• Предмет: Алгебра
  • Автор: danilkaaka228
  • Вопрос задан 8 лет назад

16-3х1х=9
решите пажалуста я ни магу решать такие эбоные уровнения.
памагите пажалуста,я хачу покончить с жызнью

Ответы

Ответ дал: otero1997
0

Вот твой ответ, советую подучить... Или дальше будет очень плохо.


Приложения:
Ответ дал: danilkaaka228
0
есчё разь
Ответ дал: danilkaaka228
0
пышы номер тэлэфона,я тоби позваню,ти запишищь мой тэлэфон. еслэ будуть какэето праблэмосы
Ответ дал: danilkaaka228
0
пазвани
Ответ дал: danilkaaka228
0
мне
Ответ дал: danilkaaka228
0
я тоби памагу
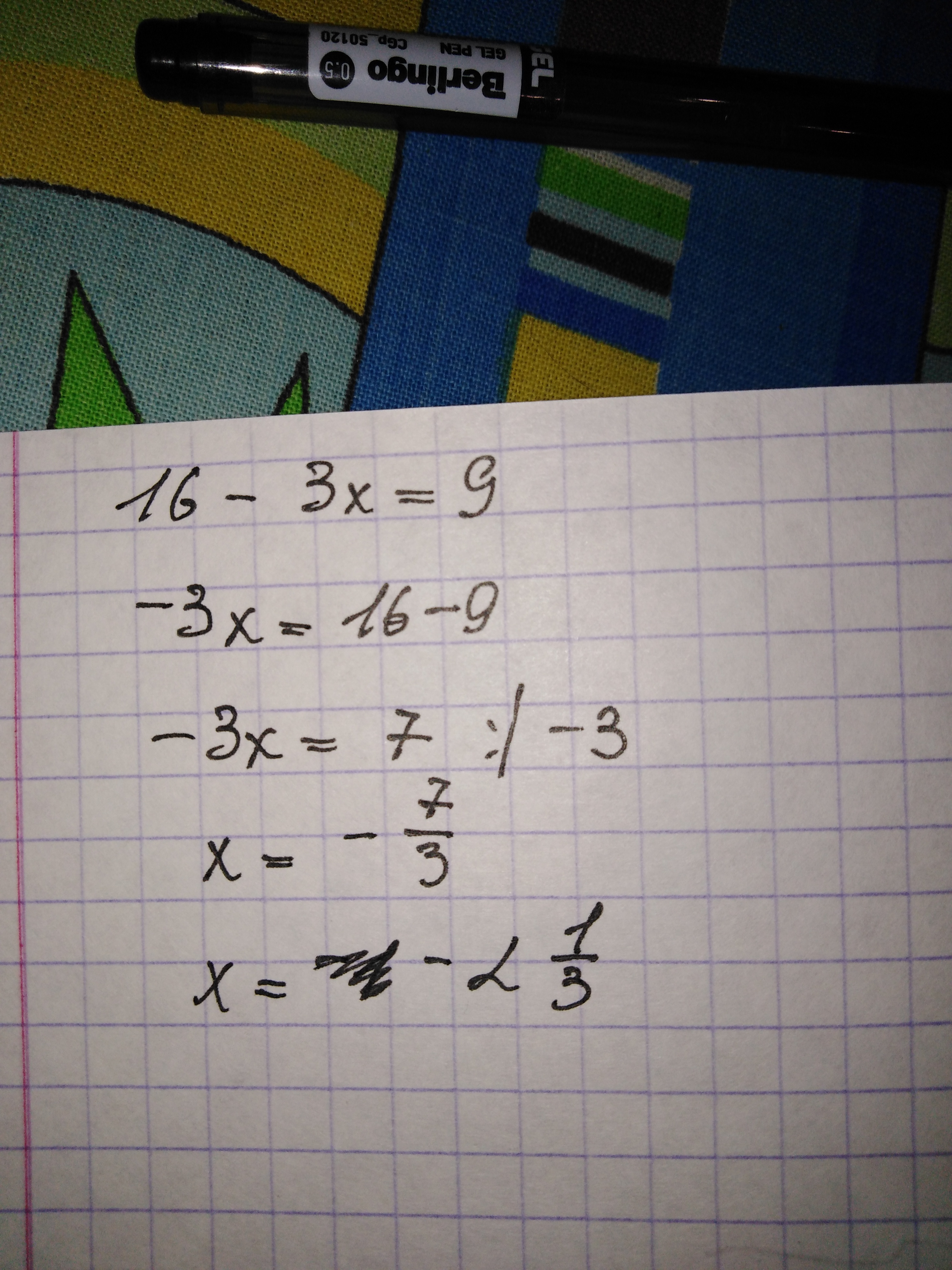
Ответ дал: Universalka
0

16 - 3x = 9

- 3x = 9 - 16

- 3x = - 7

x=frac{7}{3}=2frac{1}{3}

Приложения:
Вас заинтересует