• Предмет: Математика
  • Автор: Коринин
  • Вопрос задан 8 лет назад

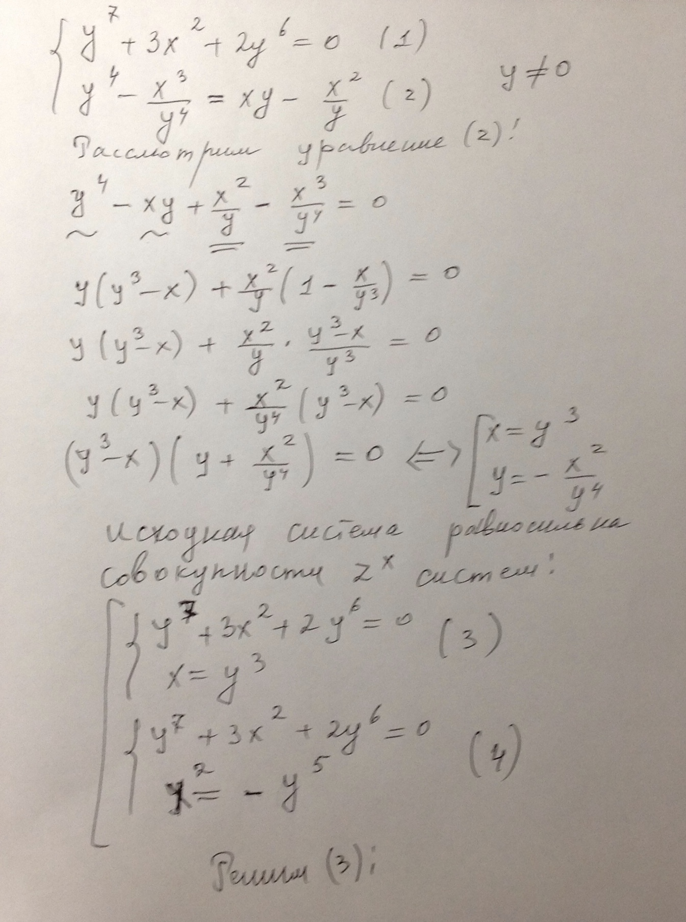
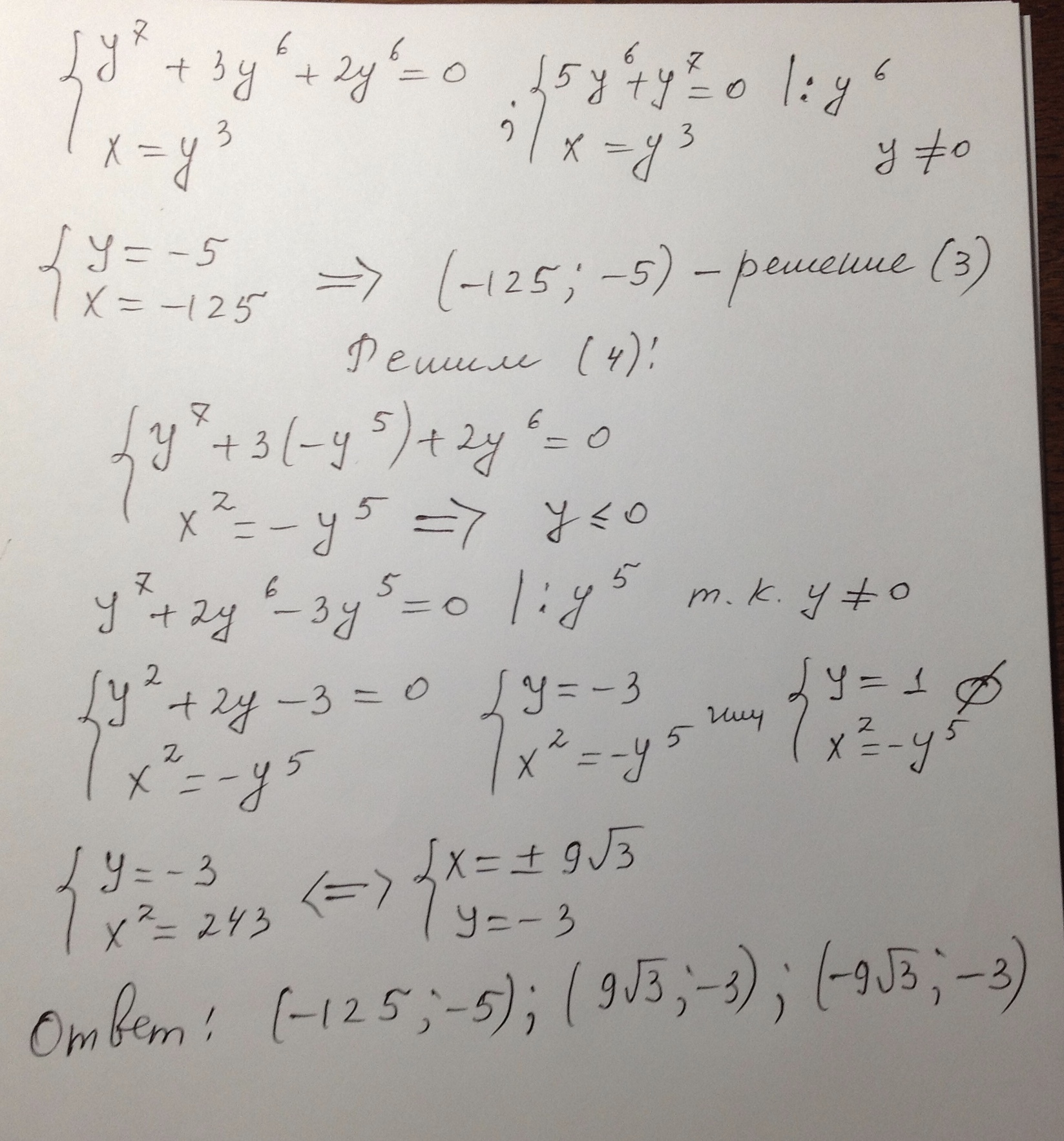
Решите систему уравнений
[tex]begin{array}{l}left{y^7+3x^2+2y^6=0\y^4-(x^3/y^4)=xy-(x^2/y)right.[tex]

Ответы

Ответ дал: antonovm
0

................................................................................

Приложения:
Вас заинтересует