• Предмет: Алгебра
  • Автор: kmiroslaw2015
  • Вопрос задан 8 лет назад

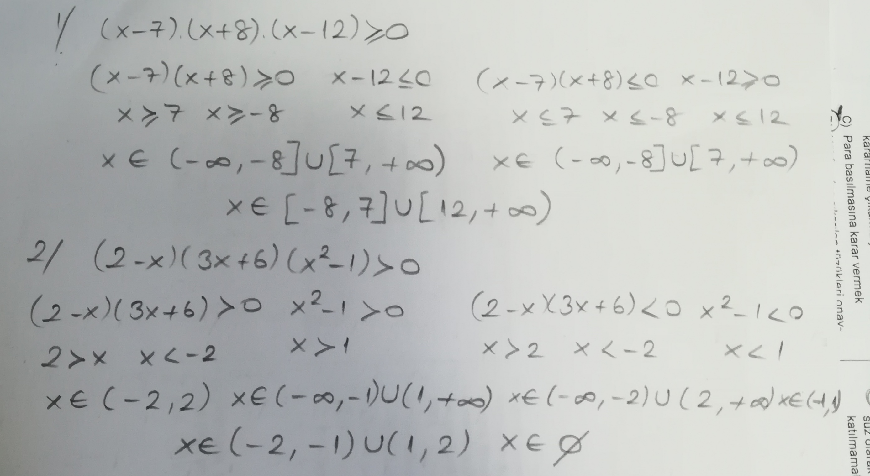
Решите неравенство (x - 7) (x + 8) (x - 12) ≥ 0
А: [−8;7]∪[12;+∞)
Б: (−∞;−4)∪(−3;1)
В: (−5;−1)∪(2;+∞)
Г: (−∞;+∞)∪[7;12]
Решите неравенство (2-x) (3x + 6) (x2-1)> 0
А: (−2;−1)∪(1;2)
Б: (−∞;−2)∪(−1;1)∪(2;+∞)
В: (−6;0)∪(1;6)
Г: (−2;−12)∪(2;3)

Ответы

Ответ дал: Mirage86
0

I hope this helps you

Приложения:
Ответ дал: valenivan
0

Используем конечно же метод интервалов, загляните в тетрадку, вы его изучаете сейчас?

Приложения:
Вас заинтересует