Помогите, пожалуйста!!!
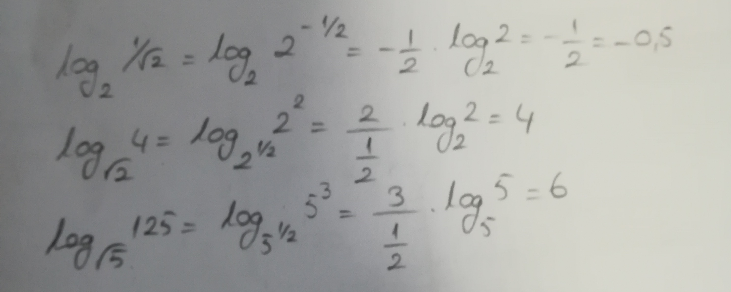
log2 1/корень из 2
log корень из2 4
log корень из 5 125 под корнем 4 степени
Ответы
Ответ дал:
0
I hope this helps you
Приложения:

Вас заинтересует
2 года назад
2 года назад
3 года назад
3 года назад
9 лет назад
9 лет назад
9 лет назад