Ответы
Ответ дал:
0
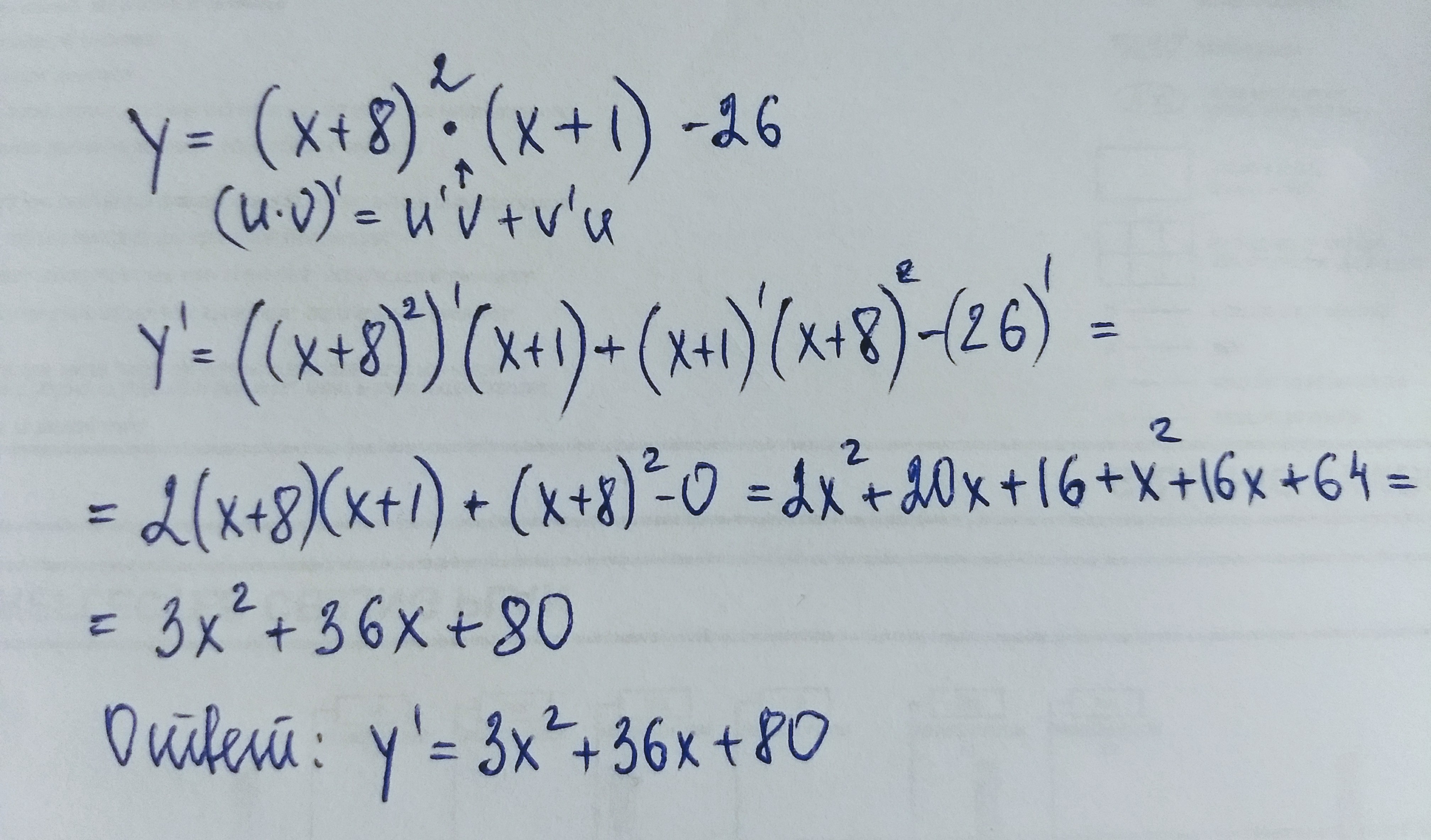
Ловите. Применяем правило производной произведения. Также здесь, строго говоря, мы ещё применяем правило дифференциированием сложной функции для (x+8)^2, но производная внутренней функции (x+8) равна 1.
Подробное решение на фото.
Удачи!
Приложения:

Вас заинтересует
2 года назад
3 года назад
3 года назад
9 лет назад
9 лет назад
9 лет назад