Ответы
Ответ дал:
0
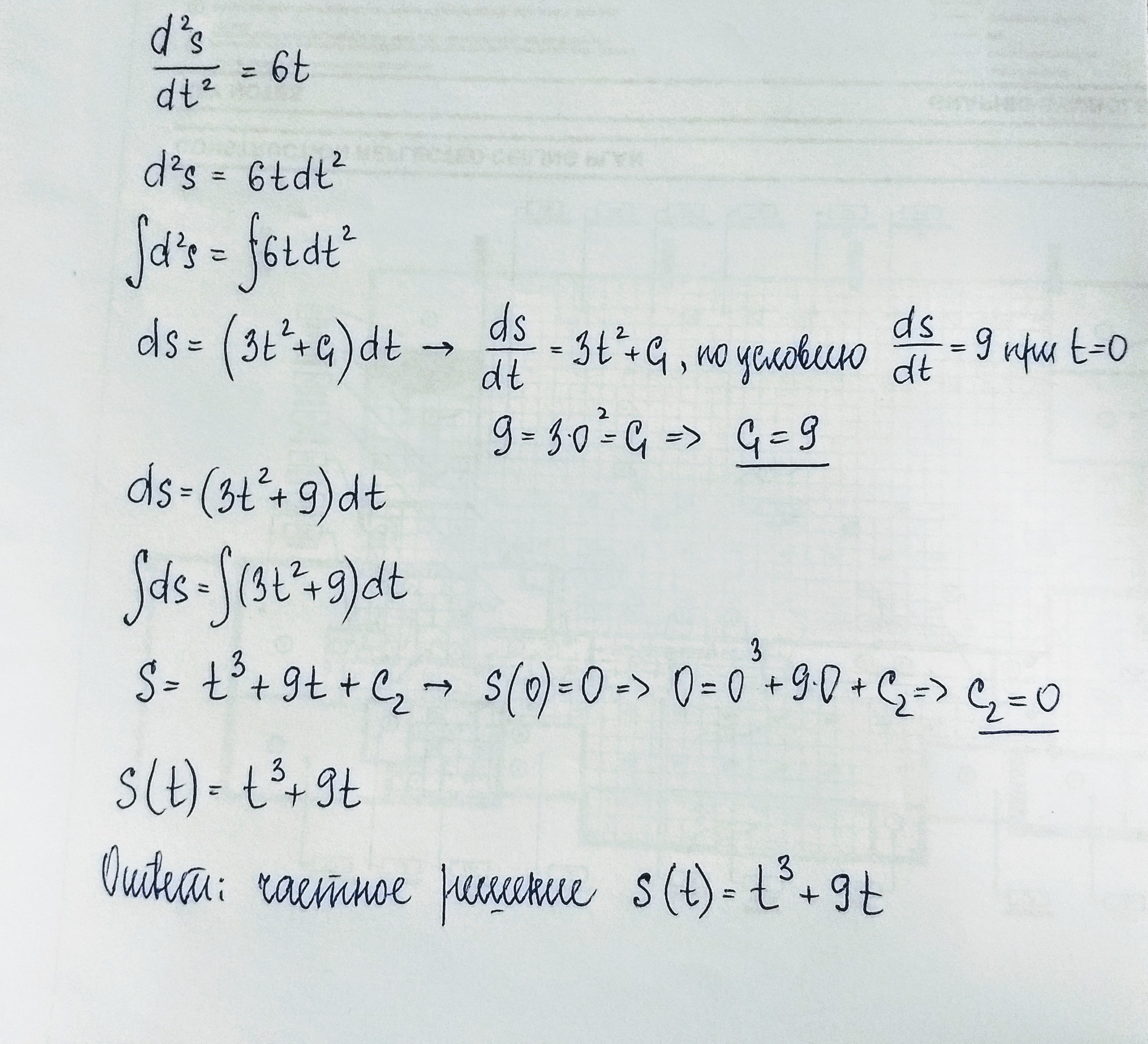
Ловите решение. Поскольку это уравнение с разделяющимися переменными, то мы их изолируем и интегрируем два раза.
Приложения:

Ответ дал:
0
Благодарю
Вас заинтересует
2 года назад
3 года назад
9 лет назад
9 лет назад
9 лет назад