• Предмет: Математика
  • Автор: loverdragon
  • Вопрос задан 8 лет назад

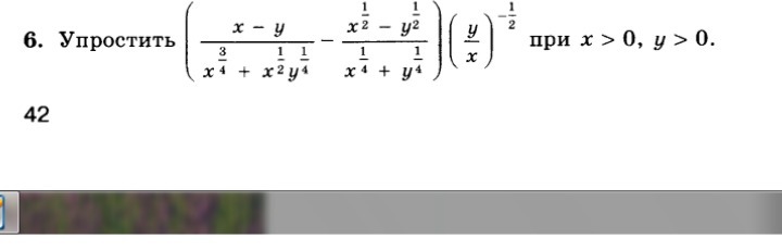
Упростите. Голову уже сломал

Приложения:

Ответы

Ответ дал: Simba2017
0

////////////////////////////////////////////////

Приложения:
Вас заинтересует