• Предмет: Математика
  • Автор: kruto340
  • Вопрос задан 8 лет назад

Решите уравнение!!!!!!!!!!!!!

Приложения:

Ответы

Ответ дал: jake0962
0
вот это ¤¤¤¤¤¤¤¤¤¤¤¤
Приложения:
Ответ дал: kruto340
0
Спс
Ответ дал: jake0962
0
ок
Ответ дал: iosiffinikov
0

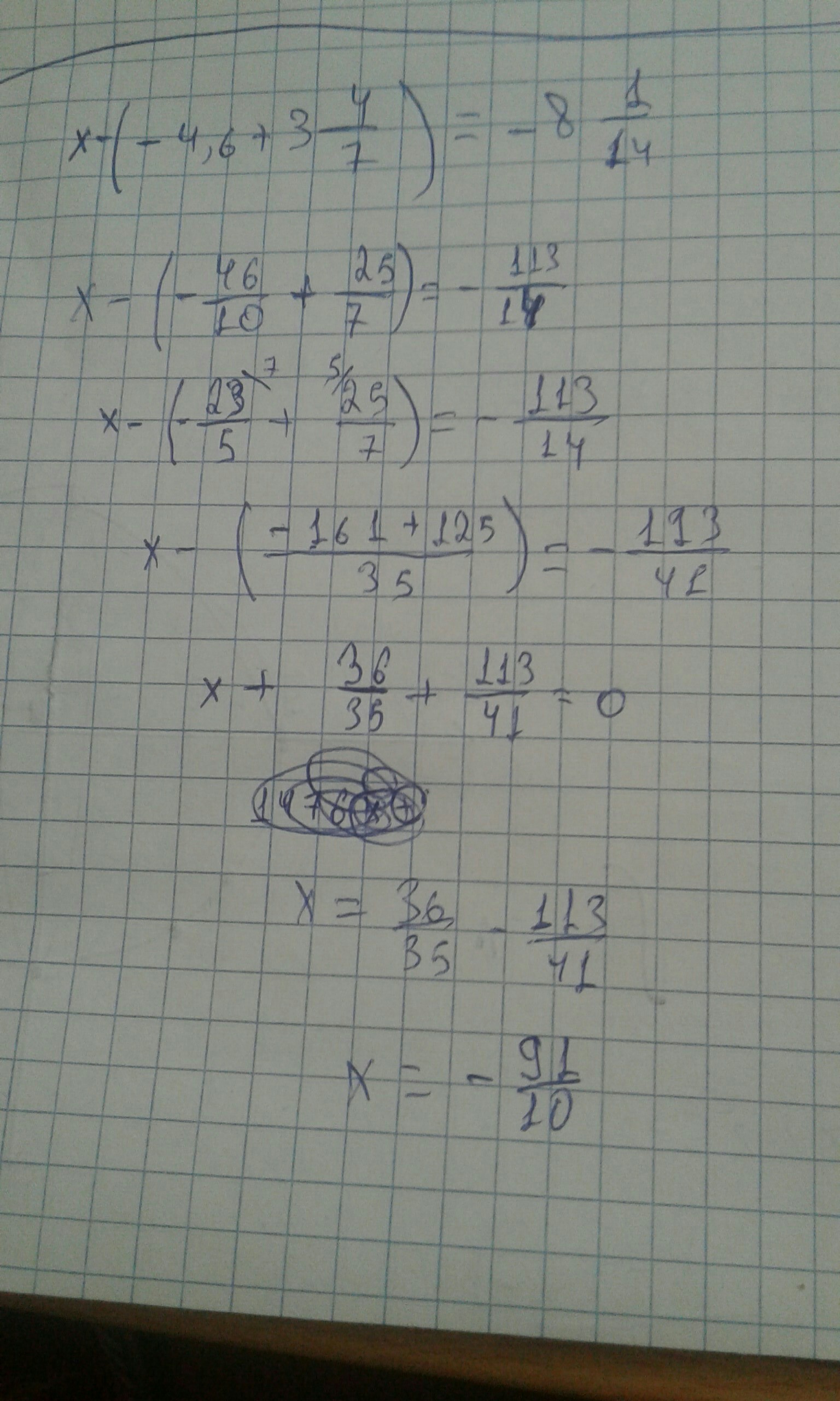
Прибавим выражение в скобках к обоим частям и раскроем скобки.

х=-4,6-8 1/14+3 8/14

х=-4,6-5+7/14

х=-4 -0,6 -5 +0,5

х=-9,1

Приложения:
Вас заинтересует