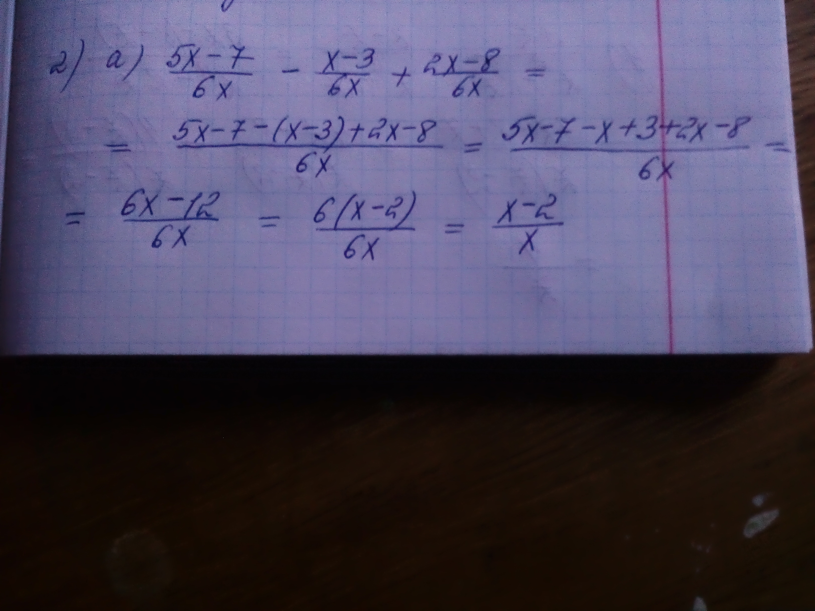
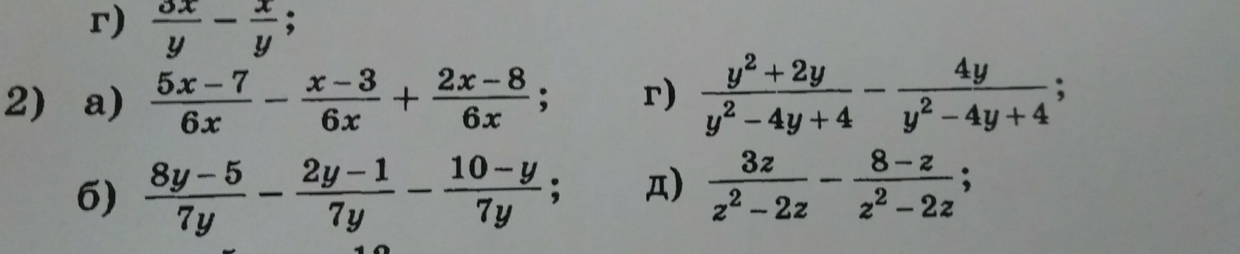
Ответы
Ответ дал:
0
!!!!!!!!!!!!!!!!!!!!!!!!!
Приложения:


Вас заинтересует
3 года назад
9 лет назад