• Предмет: Химия
  • Автор: malyhsegiys200
  • Вопрос задан 8 лет назад

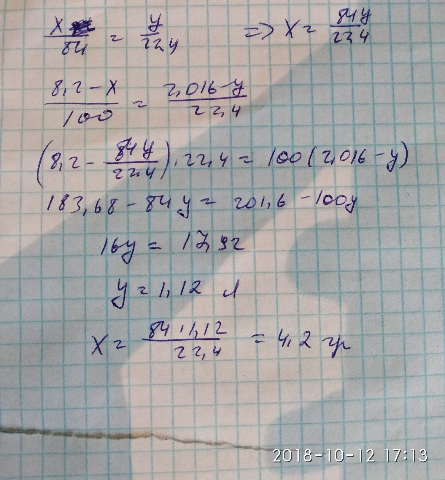
x,г                      y,л
MgCO3 = Mgo CO2

8.2 - x                  2.016 - y
CaCO3 = CAO +CO2
left { {{xgr/84 gr = ylitr/22.4litr } atop {8,2 - x /100gr = 2.016-y/22.4}} right.

-----Найти x и y ----------

Ответы

Ответ дал: UlugbekRakhimov
0
Решение в фото.........
Приложения:
Вас заинтересует