• Предмет: Алгебра
  • Автор: АнанасВася
  • Вопрос задан 8 лет назад

Помогите, пожалуйста.

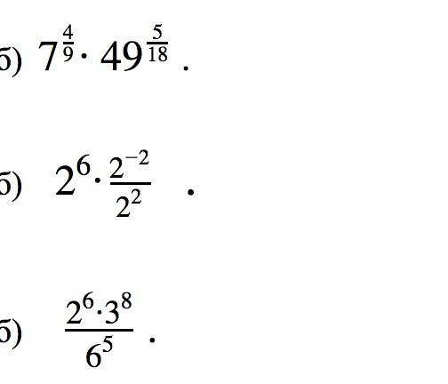
Приложения:

Ответы

Ответ дал: Джуслан
0

А) 7 в степени5/9 умножить на 7 в степени 4/9

7^4/9*7^4/9

Складывает дроби, получаем ответ: 7

Б)2^4*2^-2=2^2=4

В)2^6*3^8/3^5*2^5=2*3^3=2*27=54


А) 0,4*10^2=40

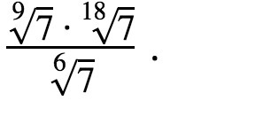
Последнюю не знаю-не помню сори )))

Вас заинтересует