• Предмет: Алгебра
  • Автор: sashsvirin
  • Вопрос задан 8 лет назад

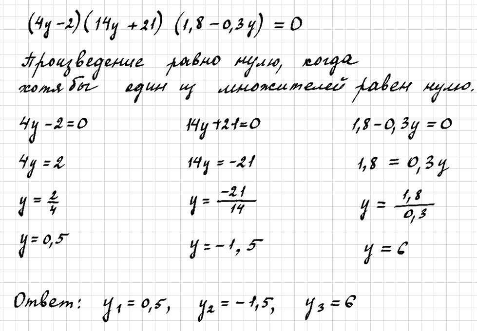
(4y-2)(14+21)(1,8-0,3y)=0 даю 17 балов

Ответы

Ответ дал: UluanaV
0

Решение в прикрепленном файле.

Приложения:
Вас заинтересует