Ответы
Ответ дал:
0
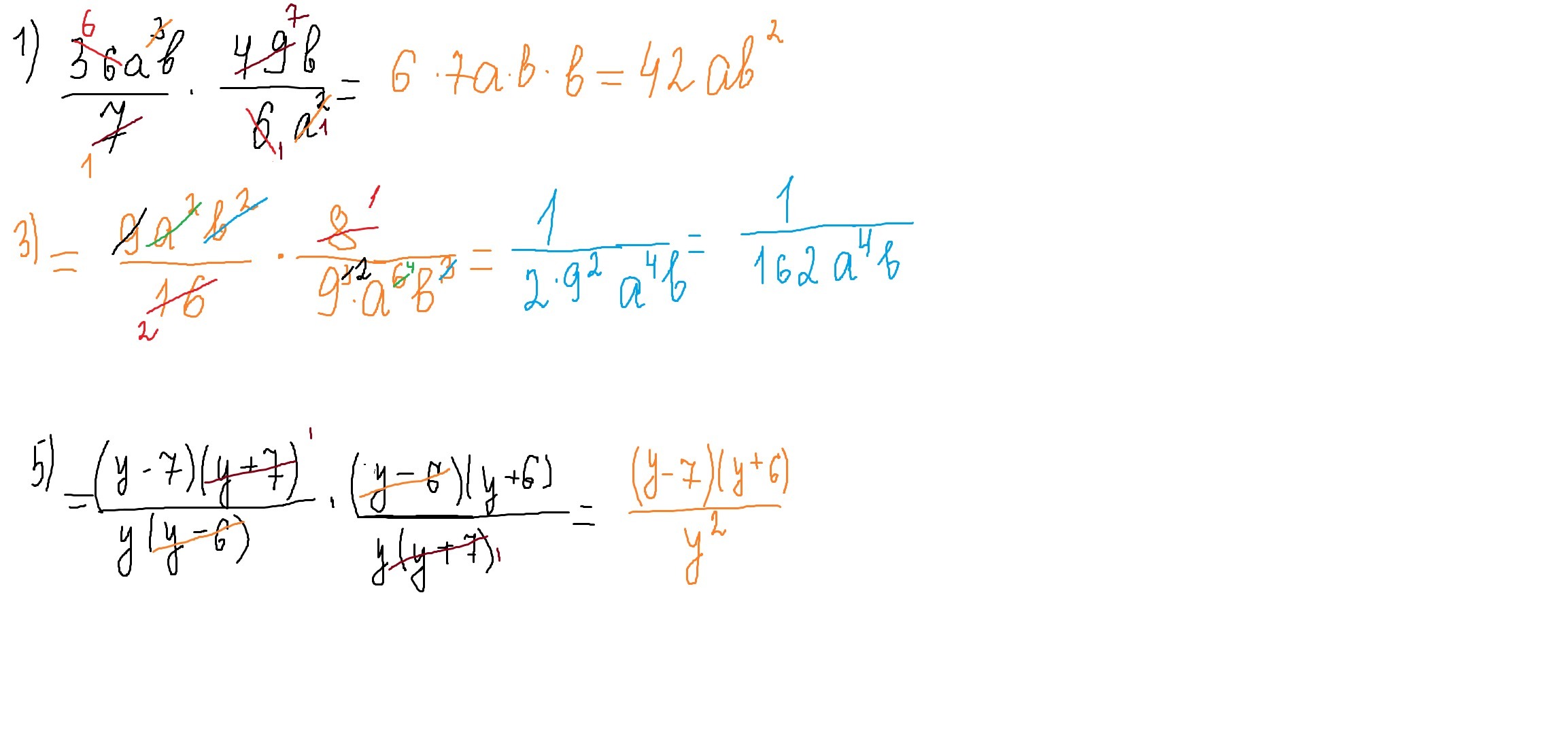
1) 42ав
3) 1/162а^4в
5) ((у-7)(у+6))/у^2
3) 1/162а^4в
5) ((у-7)(у+6))/у^2
Приложения:

Ответ дал:
0
решение смотри внизу
Приложения:

Вас заинтересует
2 года назад
3 года назад
3 года назад
9 лет назад