• Предмет: Алгебра
  • Автор: kkkkiiiii
  • Вопрос задан 8 лет назад

ПОМОГИТЕ ПОЖАЛУЙСТА С ПРИМЕРАМИ

Приложения:

Ответы

Ответ дал: alexavayt602
0

вот так вот

в последнем условие не писала

Приложения:
Ответ дал: MizoriesKun
0

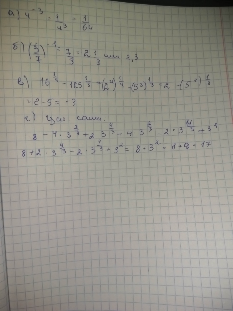
4⁻³=1/4³= 1/64

(3/7)⁻¹=7/3

16¹/⁴- 125¹/³=  (2⁴)¹/⁴- (5³)¹/³ =2-5=-3

(2+3²/³)(4-2*3²/³+3⁴/³)= 8+ 4*3²/³ - 4*3²/³- 2*3⁴/³+ 2*3⁴/³ +3⁶/³= 8+3²=  

=8+9=17

Приложения:
Ответ дал: alexavayt602
0
в последнем 17.
Ответ дал: MizoriesKun
0
в последнем куб суммы
Ответ дал: alexavayt602
0
я перепроверила, там- 17, посмотри фото которое я скинула.там идет сокращение и вычисление степени.
Вас заинтересует