• Предмет: Алгебра
  • Автор: xyJLyMyJLy
  • Вопрос задан 8 лет назад

ПОМОГИТЕ пожалуйста
скочноооооооооооо!!!11!!!!!!!!!! по алгебрееееее

Приложения:

Ответы

Ответ дал: oksik1970
0
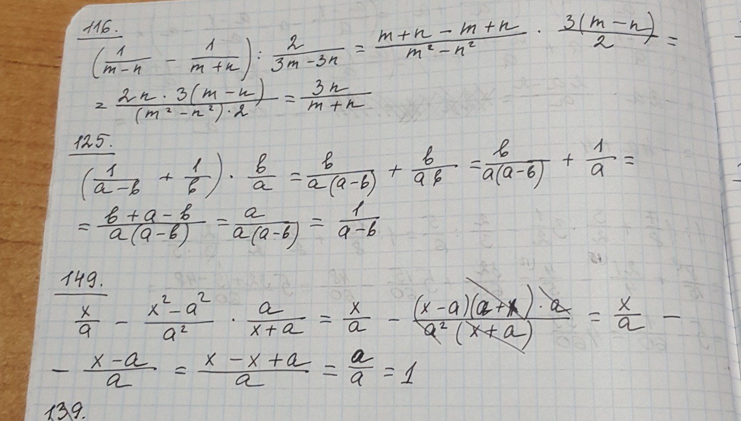
решение на фото. удачи!!!
Приложения:
Вас заинтересует