• Предмет: Математика
  • Автор: Un1ess
  • Вопрос задан 8 лет назад

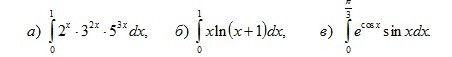
Вычислите определённые интегралы.

Приложения:

Ответы

Ответ дал: ivanspraguepaar7t
0

Ловите все вычисленные интегралы. Применяем практически для всех (один с корнем в знаменателе вычисляется совсем просто) либо замену переменной, либо интегрирование по частям. Удачи вам!

Приложения:
Вас заинтересует