• Предмет: Алгебра
  • Автор: SeregaTris2
  • Вопрос задан 8 лет назад

помогите добрые люди

Приложения:

Ответы

Ответ дал: AntVa
0

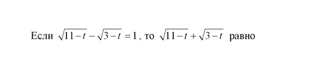
(a-b)(a+b)=a²-b²

(sqrt{11-t}-sqrt{3-t})(sqrt{11-t}+sqrt{3-t})=sqrt{11-t}^2-sqrt{3-t}^2=11-t-(3-t)=8;

Мы получили равенство:

(sqrt{11-t}-sqrt{3-t})(sqrt{11-t}+sqrt{3-t})=8

зная из условия, что sqrt{11-t}-sqrt{3-t}=1 подставим в равенство:

1*(sqrt{11-t}+sqrt{3-t})=8

sqrt{11-t}+sqrt{3-t}=8

Ответ: 8

Ответ дал: mostvit
0

Перепишем

/(11-t)=/(3-t) +1

Возведём обе части в квадрат

11-t=3-t+2/(3-t) +1

Вас заинтересует