Ответы
Ответ дал:
0
using System;
using static System.Math;
public class Test
{
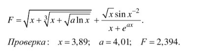
public static double F(double x, double a){
return Math.Sqrt(x + Math.Pow(x + Math.Sqrt(a*Math.Log(x)),1/3.0)) + Math.Sqrt(x)*Math.Sin(Math.Pow(x,-0.5))/(x + Math.Pow(Math.E,a*x));
}
public static void Main()
{
double X = 3.89, A = 4.01;
Console.WriteLine(F(X,A));
}
}
using static System.Math;
public class Test
{
public static double F(double x, double a){
return Math.Sqrt(x + Math.Pow(x + Math.Sqrt(a*Math.Log(x)),1/3.0)) + Math.Sqrt(x)*Math.Sin(Math.Pow(x,-0.5))/(x + Math.Pow(Math.E,a*x));
}
public static void Main()
{
double X = 3.89, A = 4.01;
Console.WriteLine(F(X,A));
}
}
Ответ дал:
0
3 - лииерал int, а 3.0 - double.
Ответ дал:
0
литерал*
Ответ дал:
0
1/3 = 0 (целочисленное деление(
Ответ дал:
0
1/3.0 = 0.333333...
Ответ дал:
0
благодарю
Вас заинтересует
2 года назад
2 года назад
3 года назад
3 года назад
9 лет назад
9 лет назад
10 лет назад