• Предмет: Математика
  • Автор: fundefun
  • Вопрос задан 8 лет назад

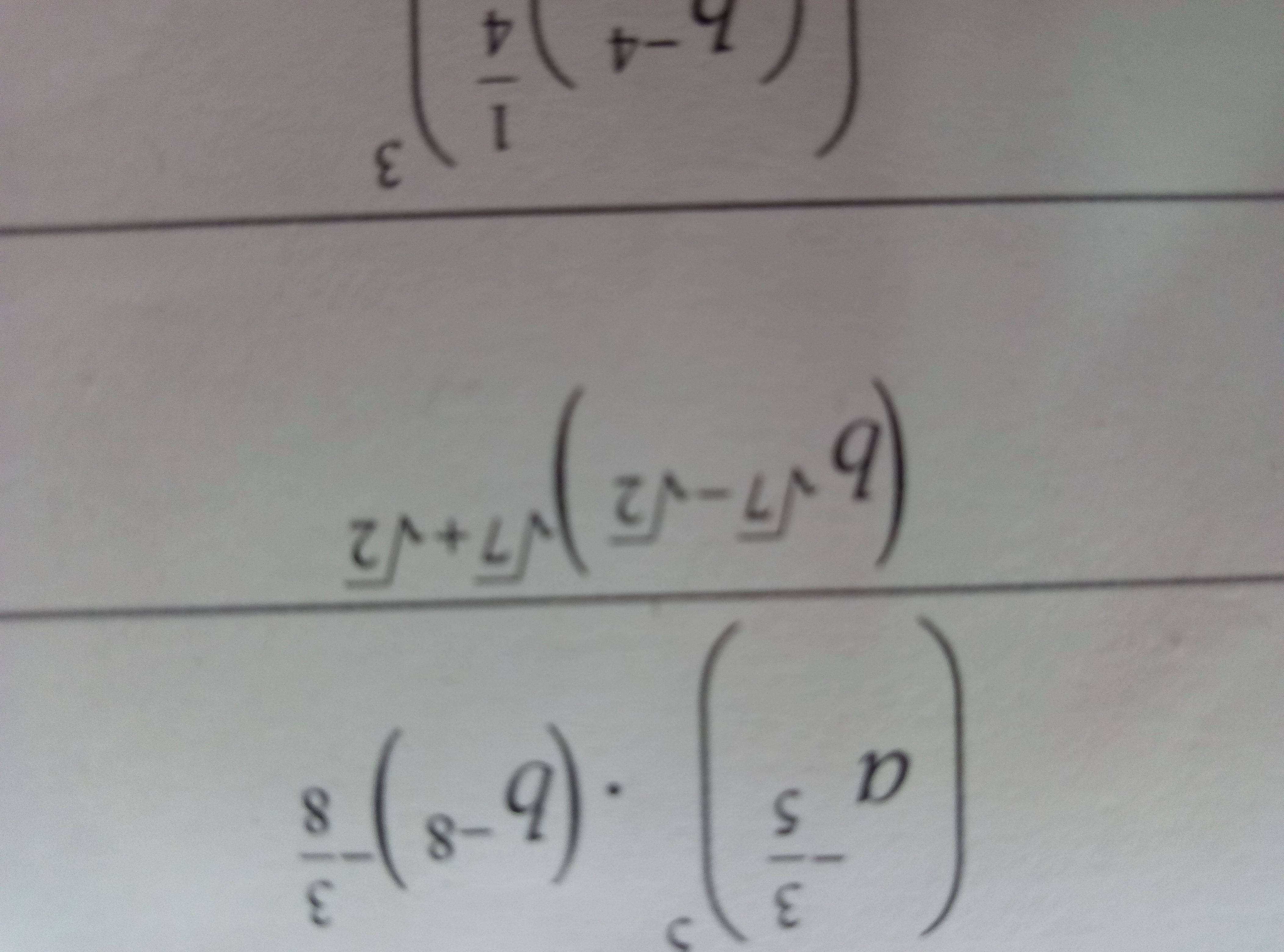
Упростить, помогите решить срочно.

Приложения:

Ответы

Ответ дал: dbabbyoxkjcz
0

 ({ {a}^{  - frac {3}{5} } })^{5}  times  ({ {b}^{ - 8} })^{  - frac{3}{8} }  =  {a}^{  - frac{3}{5} times 5 }  times  {b}^{  - frac{3}{8}  times 8}  =  {a}^{ - 3} times  {b}^{ - 3}  =  {(ab)}^{ - 3}  \  { ({b}^{ sqrt{7}  -  sqrt{2} } )}^{sqrt{7}  +  sqrt{2} }  =  {b}^{( sqrt{7}  -  sqrt{2} ) times ( sqrt{7}  +  sqrt{2} )}  =  {b}^{ { sqrt{7} }^{2}  -  { sqrt{2} }^{2} }  =  {b}^{7 - 2}  =  {b}^{5}  \  { {( {b}^{ - 4}) }^{( frac{1}{4} )} }^{3}  =  { ({b}^{ - 4} )}^{ frac{3}{4} }  =  {b}^{ - 3}  =  frac{1}{ {b}^{3} }
Вас заинтересует