• Предмет: Алгебра
  • Автор: mortysmotry
  • Вопрос задан 8 лет назад

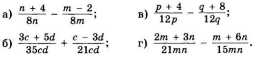
Выполните вычитание (сложение) алгебраических дробей.
Даю 25 баллов! Помогите

Приложения:

Ответы

Ответ дал: AntVa
0

a)frac{(n+4)m}{8nm}-frac{(m-2)n}{8nm}=frac{nm+4m-nm+2n}{8nm}=frac{2m+n}{4nm}

б)frac{(p+4)q}{12pq}-frac{(q+8)p}{12pq}=frac{pq+4q-pq-8p}{12pq}=frac{q-2p}{3pq}

в)frac{3c+5d}{5*7cd}+frac{c-3d}{3*7cd}=frac{3(3c+5d)}{3*5*7cd}+frac{5(c-3d)}{5*3*7cd}=frac{9c+15d+5c-15d}{15*7cd}=frac{2*7c}{15*7cd}=frac{2}{15d}

г)frac{2m+3n}{3*7mn}-frac{m+6n}{3*5mn}=frac{(2m+3n)5}{3*5*7mn}-frac{(m+6n)7}{3*5*7mn}=frac{10m+15n-7m-42n}{3*5*7mn}=frac{3m-27n}{3*35mn}=frac{m-9n}{35mn}

Вас заинтересует