• Предмет: Алгебра
  • Автор: Аноним
  • Вопрос задан 8 лет назад

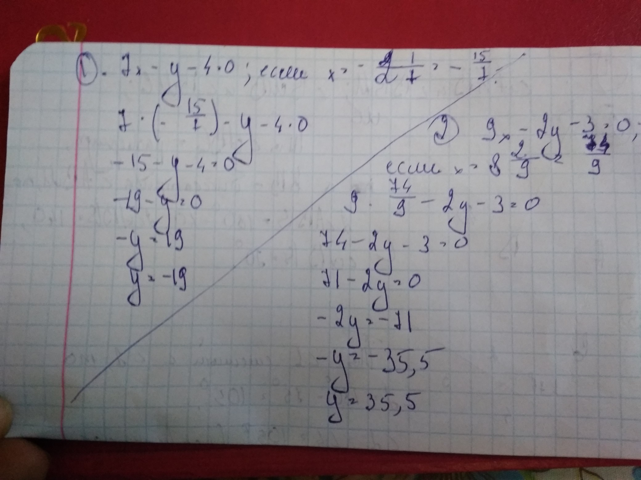
7х-у-4=0, если х= - 2 целых, одна седьмая
9х-2у-3=0, если х= 8 целых две девятых (решите пж)

Ответы

Ответ дал: medoed15
0
Надеюсь, помогла ❤️❤️
Приложения:
Вас заинтересует