Ответы
Ответ дал:
0
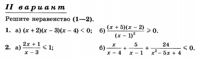
только первое решила. остальное так же. все в систему находите точки. если знак не строгий закрашенная точка. если строгий, то выколотая
Приложения:

Вас заинтересует
2 года назад
2 года назад
3 года назад
3 года назад
9 лет назад
9 лет назад