• Предмет: Математика
  • Автор: yaroslavcevoffice
  • Вопрос задан 8 лет назад

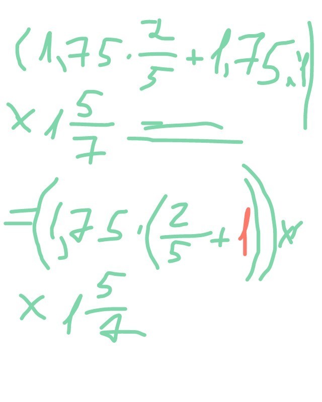
Простите,что не чёткий пример. подскажите, пожалуйста. почему + 1 и зачем она там?

Приложения:

Ответы

Ответ дал: Nastya007jdd
0

т.к вы вынесли 1.75 за скобку, а оно(число) было в связке с 1( если я правильно поняла, то там умножить на 1) вы выносите а в скобке остается 1. так как по услови. там плюс, то и тут плюс остается

Ответ дал: Nastya007jdd
0
либо вы выносите -1.75 за скобки и в скобках становится +. либо выносите просто и в скобках -
Ответ дал: yaroslavcevoffice
0
правильно я понял? ( 1.75 ( 2/5 -1 ))
Ответ дал: Nastya007jdd
0
если - то да
Ответ дал: yaroslavcevoffice
0
я разобрался. спасибо огромное за помощь.
Ответ дал: Nastya007jdd
0
не за что
Ответ дал: Nonamecot
0

Короче смотри благодаря 1 ты превращаешь число в смешанное. Смотри число будет писаться так

1 2

_

5

Вас заинтересует