представьте выражение в виде степени и вычислите его значение: 1) 3^16:(3^5)^3: 2) (5^7)^3:(5^4)^5; 3) 6^8*(6^5)^4:6^25; 4) 49^2:7^3; 5) 8^14*(8^4)^6; 6) 9^5*81^6/3^30///
Ответы
Ответ дал:
0
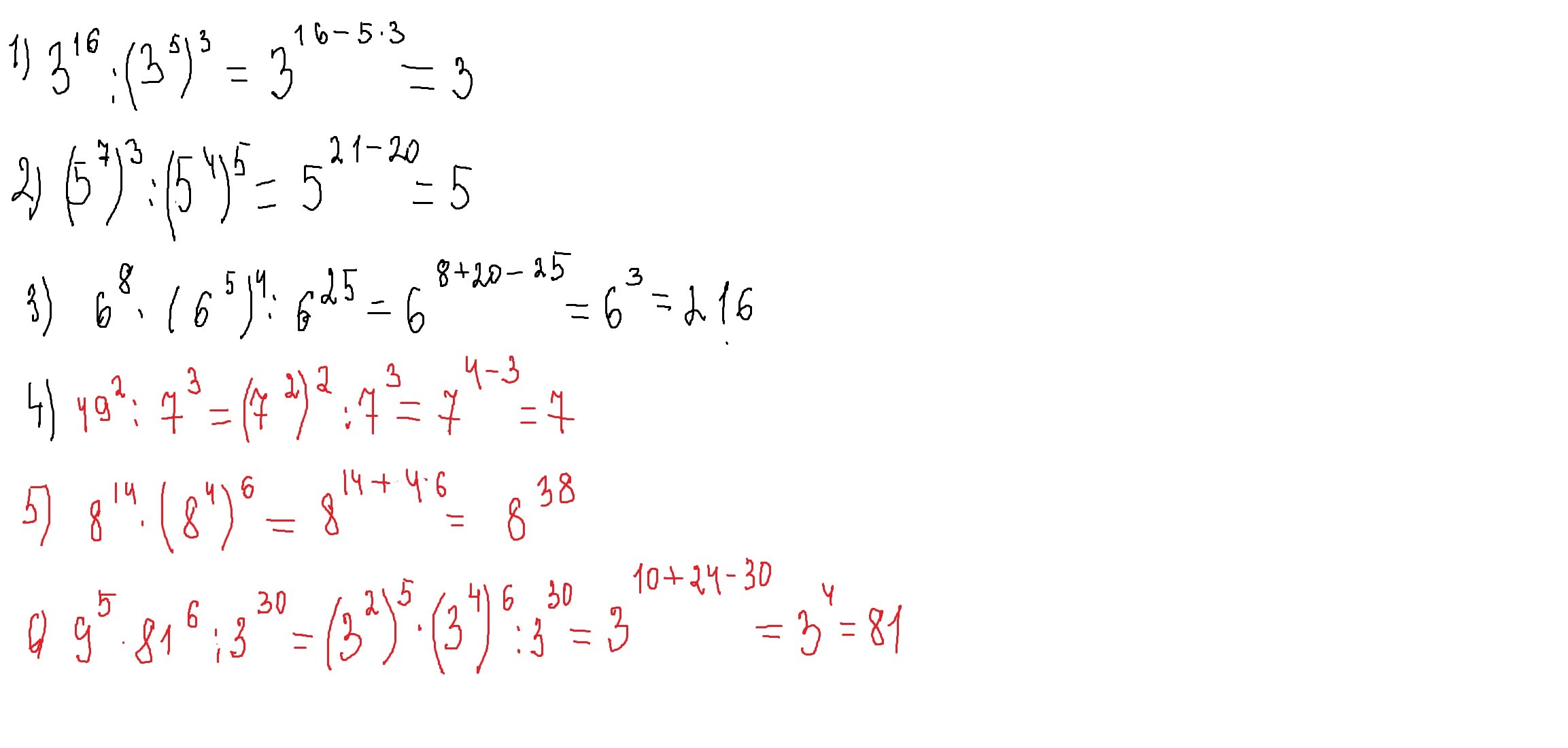
1) 3^16:(3^5)^3=3^163^15=3^1=3
2) (5^7)^3:(5^4)^5=5^215^20=5^1=5
3) 6^8*(6^5)^4:6^25=6^8*6^206^25=6^286^25=6^3=216
4) 49^2:7^3=(7^2)^27^3=7^47^3=7^1=7
5) 8^14*(8^4)^6=8^14*8^24=8^38=дофига=2.0769187434139E+34
6) 9^5*81^6/3^30=9^5*(9^2)^69^29=9^5*9^129^29=9^179^29=9^-12
Ответ дал:
0
объясните, как 3^20 превратилось в 9^29 ?
Ответ дал:
0
Там не 3^20, а 3^30. Но всё равно у меня неверно( Всё уже позабывала
Ответ дал:
0
да,в 30.
Ответ дал:
0
решение смотри внизу.только в 5 примере я не смогла вычислить 8^38. при решении применяем св-ва степеней(найди в учебнике)
Приложения:

Вас заинтересует
2 года назад
3 года назад
9 лет назад
9 лет назад
9 лет назад
9 лет назад