• Предмет: Алгебра
  • Автор: minovaksyusha
  • Вопрос задан 8 лет назад

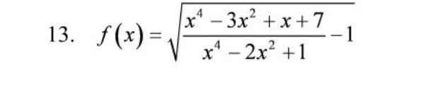
Найдите область определения функции

Приложения:

Ответы

Ответ дал: 1233090
0
решение области определения смотри на фотографии
Приложения:
Вас заинтересует