• Предмет: Алгебра
  • Автор: clientcomfykm1140118
  • Вопрос задан 8 лет назад

Помогите зделать
Ж и М

Приложения:

Ответы

Ответ дал: stusha87
0
лови ответ,если ещё нужно
Приложения:
Ответ дал: clientcomfykm1140118
0
Ищо М можете сделать?
Ответ дал: king718
0
отправь фотку
Ответ дал: clientcomfykm1140118
0
Уже
Ответ дал: clientcomfykm1140118
0
В верху
Ответ дал: king718
0
ок шас
Ответ дал: king718
0
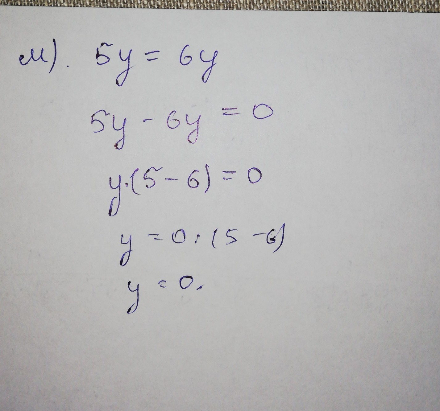
л) и м) не понел не доканца
Приложения:
Ответ дал: clientcomfykm1140118
0
Отправил уже
Ответ дал: king718
0
минуточку
Ответ дал: king718
0
отправил
Вас заинтересует