• Предмет: Алгебра
  • Автор: minovaksyusha
  • Вопрос задан 8 лет назад

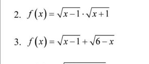
Найдите область определения функции

Приложения:

Ответы

Ответ дал: d60k60
0

х-1≥0 х≥1 , х+1≥0 х≥-1 . ответ х≥  1.

во втором х-1≥0  х≥1 или 6-х≥0 ,х≤  6 .ответ      1≤х ≤ 6.

Вас заинтересует