Ответы
Ответ дал:
0
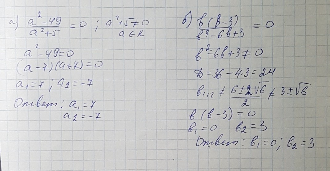
решение задания смотри на фотографии
Приложения:

Ответ дал:
0
пожалуйста
Ответ дал:
0
Извините,а пример б можно решить так,чтобы это казалось решением восьмиклассника,а то мы такое даже не проходили
Ответ дал:
0
это решение задания за 8 класс,но,если квадратные уравнения ещё не прошли,знаменатель не выписваай,а только числитель приравняй нулю.
Ответ дал:
0
А можете прямо сюда написать ? Пожалуйста .
Ответ дал:
0
Очень надо.
Вас заинтересует
2 года назад
3 года назад
3 года назад
9 лет назад
9 лет назад
9 лет назад