• Предмет: Математика
  • Автор: dariarain16
  • Вопрос задан 8 лет назад

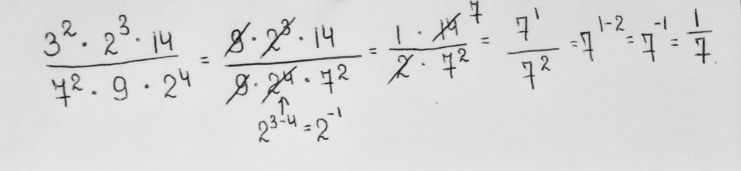
3²х2³х14
------------- 7²х9х2⁴
сократите

Ответы

Ответ дал: NastasiaaMilk
0
Решение на фото, думаю, все правильно.
Приложения:
Ответ дал: dariarain16
0
спасибо огромное
Ответ дал: NastasiaaMilk
0
Обращайся)
Вас заинтересует