• Предмет: Алгебра
  • Автор: oksana0590
  • Вопрос задан 8 лет назад

Срочно !!!!!!!!!!!Помогите

Приложения:

Ответы

Ответ дал: pol74352
0

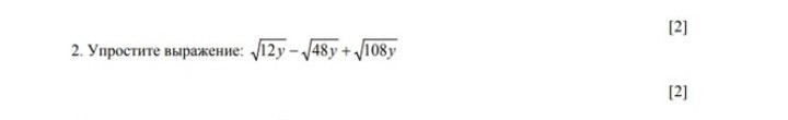
√12y - √48y + √108y = √4×3y - √16×3y +√36×3y = 2√3y - 4√3y + 6√3y = 4√3y


Вас заинтересует